个人成就
- 发布了41篇内容
- 获得了7次赞同
- 获得了15次收藏
个人简介
擅长领域
暂时没有设置哦~
-
深入透彻的讲解BUCK电源电感电流纹波率 r 的取值
深入透彻的讲解BUCK电源电感电流纹波率 r 的取值
今天我们来讲一下BUCK电源的电感电流纹波率r的取值,可能有的朋友在计算BUCK电感量时(
)
都是以 r=0.4 来取值的,也有的是按照r=2来取值的,或者其他的取值。那么纹波率的取值不同,影响到的是什么呢?为什么要引入纹波率r这个概念呢?那么本文就和大家一起深入透彻的讨论这个问题,并用实际的例子,来量化,看看纹波率r的取值依据到底是什么。希望通过本文的讲解,让工程师们有更深的理解,如果能帮助到大家,深感荣幸。
在阅读本文前,需要大家对BUCK拓扑的基本工作原理以及电感的工作模式有一定的了解。如果大家有需求,欢迎留言,会在以后的文章中给大家介绍。
我们知道,对于BUCK电源来说,最主要的核心器件就是电感。而电感有三种工作模式,分别是断续模式(DCM)、临界连续模式(BCM)、连续模式(CCM)。
我们用一副图来表示,方便大家对比。那么,纹波率r表示的是什么意思呢?用书本上的表达是:
那么它代表的意思是:电流纹波/直流分量。这里注意,一般纹波率r只在BCM和CCM模式下才会谈到。另外,需要注意的一个概念,就是交流分量是这么来定义的:
之所以有以上这2个公式,其实是从伏秒定律推导的,而伏秒定律只在BCM和CCM模式下才是满足的,这也间接说明了为什么纹波率r值在BCM和CCM模式下才会谈到的原因。
另外,根据基本的电感方程
可推导出电感量公式(ton):
那么,如果这个电感工作在BCM模式下的话,由于ΔI=2*Io,那么公式可以变为:
(2)
根据(1)式可知,ΔI=r*Io那么分母下面的2其实就是纹波率r了。所以,关于电感量的计算公式还可以写作下面这样的形式:
(3)
那么,我们在设计BUCK电感量时会必不可少的用到(3)式来计算电感量,但是,纹波率r的取值依据是什么呢?我们知道,r的取值范围:0~2(这里需要知道,r≠0,是因为BUCK电源工作原理是必须有纹波存在才能稳定工作)。然而,当r往大了取值的话,电感量L就会小,但是Ipk会大。为什么呢?这里我们举个例子:
假设一个BUCK电源的负载范围:Io=0A~2A。如果我们按照Io=2A时刚好工作在BCM模式下的话,就是下面这个波形:
如果我们按照Io=1A时刚好工作在BCM模式下的话,那么当满载时,就是下面这个波形:
通过以上2个图形,就印证了刚才说的那句话:当r往大了取的话,Ipk值就会大。那么,Ipk大的话,对于电感为了不出现饱和,磁芯要大,那么成本不就高了嘛。但是,根据
公式可知,当r往大了取的话,电感量L就会变小,然而,电感量小,电感体积是变小的。同样的道理,当r往小了取的话,Ipk虽然小,但是L变大了。
那么问题来了,r的取值到底多大合适呢?怎么才能让电感的整体体积相对来说更优啊。
从刚才的分析可知,r的改变同时影响了2个变量:L和Ipk,那么有没有一种变量,可以让r的改变只影响到这一个变量,再通过这一个变量来取它的最优解呢?
值得开心的是,是有这个变量的,这就是电感的能量公式:
那么为什么会想到这个公式呢?其实它能把电感量L和电流I联系起来,用一个能量的公式来表达。由于r的改变同时影响的是L和Ipk,那么电感能量公式就可以写成这样子的:
(4)
这里可能有朋友会有疑问,为什么非要用电感能量公式来把L和Ipk联系来呢?其实一个电感的体积表示了它所存储能量的能力,不信你看下面这个公式:
(5)
其中,μ--磁导率,A--磁芯截面积,l--磁路长度,H--磁场强度,B--磁感应强度,N--匝数,V--磁芯体积。同时可知,V=Al;B=μH;
(该公式的推导过程是这样子的:
,而磁动势F有这样的公式:
,所有,
)。
通过(5)式可知,电感的能量处理能力的大小是和体积息息相关的。这就是我们要用电感能量公式来把L和Ipk联系起来,用来求出r值最优解的原因了。
好了,我们解释了为什么用电感能量公式来求纹波率r值。还要知道一个公式:
(6)
把公式(3)(6)代入到(4)式中得:
(7)
当一个BUCK电源工况和f确定后,那么,上式中的前面一整项可以看做一个常量,所以上式可以看作是电感峰值能量Epk关于纹波率r 的一个函数了。
假设给出一个已知条件的话,那么这个函数的曲线如下图所示:
根据上面这个曲线图可以看出来,当r=0.3~0.5时,会有一个物理意义上的拐点。也就是说,这条曲线变化趋势拐了个弯,此时如果r再继续增大的话,电感对应的能量处理能力不会明显下降了,换句话说,当r在0.3~0.5以后,电感体积减小的不是特别明显,但还是有一点的,这个我们待会儿去谈。
r=0.3~0.5 其实就一般我们工程中常用的取值范围了,而r=0.4是最常见的。到了这里,我们其实已经把r值的取值依据讲明白了。如果某些过程还是存在疑问,请大家扫二维码,把问题提交给客服。
到了这里其实我们还遗留几个问题没有解答。正如刚才所说,既然r值在0.3~0.5以后,还有一点点电感体积上的争取空间的话,为什么一般不继续取大一点呢?其实这是因为当r值继续取大的话,Ipk值就大了,电解电容上的纹波电流就大,那么,由
可知,当Ipk变大时,电解电容的发热量也就大了。也就是说,r值的选取其实是有电感体积和电容发热量相互权衡的这层关系,这也是最终完全截止了r值在0.3~0.5的范围内取值的原因了。
可能有的朋友会有疑问,为什么看到有的人在设计BUCK电感时,r值是1,或者1.5,甚至是2呢?这其实也很好解释,因为对于有的高频BUCK来说,不能用ESR大的电解电容,而是用瓷片电容。而瓷片电容不存在ESR大的因素,所以,刚才分析的纹波电流大发热量大的问题就不存在了。那么,很自然而然的,就把r值取到很大了。
-
MOSFET讲解(17)
MOSFET讲解
接下来接着看12N50数据手册。
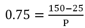
上面这个参数是MOSFET的热阻,RBJC 表示MOS管结温到表面的热阻,这里我们知道RBJC=0.75。热阻的计算公式:
,其中,Tj表示MOSFET的结温,最大能承受150℃
Tc表示MOSFET的表面温度。
通过上面公式可以计算一下,表面温度在25℃的情况下,管子能承受的功率:
,P=166W。
数据手册上给到的数据来看,当Tc=25℃时,MOSFET的功率可以达到165W,是符合刚才的计算的,这里的误差是正常的,厂家在数据手册上写的数据也是通过这个计算出来的。
我们要知道,热阻越大,结温和表面顶部温度的温差就越大,也就是说,热阻越大里面的温度散热没有那么快。这里指的是没有加散热片的热阻,如果实际板子上加了散热片,热阻也会变小。
一般数据手册给到的电气参数都是在环境温度25℃条件下测试的。
BVDSS:漏源之间的雪崩电压。测试条件:Vgs=0V,ID=250uA。给DS端不断加电压,此时ID漏电流会增大,当ID达到250uA时,此时的DS电压即为雪崩击穿电压。这里的雪崩击穿电压最小值是500V.
VGS(th):阈值电压。测试条件:VDS=VGS,ID=250uA。不断提高VGS电压同时也提高VDS电压,此时看ID电流的变化,如果ID达到250uA时,此时的VGS电压就是MOSFET的阈值开启电压了。最小值是3V,最大值是5V。离散性太大,可以不用太关心这个数据。
IDSS:漏极漏电流。测试条件:VDS =500V,VGS=0V。泄露电流随温度增加而增大,漏电流也会造成功耗,P=IDSS*VDS,一般忽略不记。
IGSS:栅极漏电流。测试条件:VGS=±30V,VDS=0V。
RDS(ON):导通电阻。测试条件:VGS=10V,ID=5.75A。通常ID都是最大电流的一半,测到的DS之间的导通电阻。
gfs:正向跨导。测试条件:VDS=30V,ID=5.75A。数字越大,频率响应越高。
Qg:总栅极充电电荷量。这个大小直接决定了开关速度。如果让管子开通,栅极电压肯定上升,电压的上升需要Qg这么大的电荷量。电荷量越大,表示开通的时间就越长。这个数据越大,表示MOSFET内部并联的就多。那么,对于高压的管子来说,Qg肯定就小;低压的管子,Qg肯定就大。同时,Qg越大,Rdson肯定就越小;Qg越小,Rdson越大。
Ciss:输入电容,Cgs+Cgd。影响MOSFET的开关时间,数据越大,开关越慢,开关损耗就越大,但是EMI特性就越好,反之亦然。
Crss:反向传输电容(也叫米勒电容),Cgd。影响的是,当漏极有异常高的电压时,通过Cgd传输到MOSFET的栅极能量的大小。比如在做雷击测试时,会有一定的影响。对关断稍微有影响。
Coss:输出电容,Cgd+Cds。对关断稍微有影响。
td(on):开通延时时间。是漏极到源极开通延时的时间。
tr:上升时间。是漏源电流的上升时间。
实际上,上面这些参数都是与时间相互关联的参数,那么开关速度越快,对应的有点是开关损耗小,效率高,温升低。对应的缺点是EMI特性不好,MOSFET的关断尖峰过高,这是由于MOSFET关断瞬间的体二极管有反向恢复时间。
Is:漏源最大电流。在选型时,需要注意实际工作温度对它的影响。
VSD:源极到漏极的正向导通压降。这个电压越高,表示体二极管的续流损耗就越大。
trr:体二极管反向恢复时间。
Qrr:体二极管反向恢复充电电量。与充电时间成正比的,越小越好。
-
MOSFET讲解(5)
MOSFET讲解
上面是一个正常情况下,电容两端电压的充电波形。但事实上,MOSFET除了在GS端存在电容之外,它还有GD电容,DS电容。那么,GD之间的电容,我们把它称之为米勒电容,实际上米勒电容有一个米勒效应的。
米勒效应,实际上是有一个固有的转移特性。在这个转移特性里面有什么关系呢?就是:栅极的电压Vgs和漏极的电流Id保持一个比例关系。
其实,对于MOSFET来说,有一个起始开通电压,叫做Vth。
当MOSFET达到起始开通电压Vth之后,Id就开始有电流了,但是这个时候,电流小,然后Vgs电压继续上升,Id也会继续上升,当上升到米勒效应的时候,就会发生固有转移特性。
我们知道了,当gs电容的电压达到Vth时,Id有电流的,就表示有通路,那么栅极的电压就有了另一条通路了。
也就是上面这幅图中紫色的这条通路。那么GS电容在达到Vth之后,会继续上升,当到达t2时刻时,Id电流就达到最大了,也可以说电流保持不变是吧。那么,既然漏极的电流保持不变,根据固有转移特性,是不是栅极电压也保持不变啊(固有转移特性:栅极电压Vgs和漏极电流Id保持一个比例关系)。
我们把栅极电压不变的这段区域叫做米勒平台区,而且MOSFET处于放大状态。那么会有人有疑问了,既然是达到放大状态,为什么电流能达到最大值呢?这和内阻分析法不是有矛盾吗?实际上是没有矛盾的。
我们用三极管来举例:
假设上面这个三极管处于饱和导通状态,放大倍数β=100,当be流过1mA电流时,Ic的电流是100mA。由于三极管处于饱和导通状态,那么C极的电位是0.3V的饱和压降,那么,根据上面这个电路图来看,如果忽略CE压降的话,根据欧姆定律:Ic=12V/100R=120mA。但实际上三极管所能达到的最大Ic电流是100mA。那么,我们来看看三极管饱和导通时的功耗问题。
饱和导通:
Ib=1mA,Ic=100mA
三极管功耗:
b极功耗:0.7V*1mA
c极功耗:0.3V*100mA
很明显,三极管在饱和导通时,功耗不大。那么,再来看一下三极管放大状态时的功耗。
由于三极管的射极电压跟随,输出电压是5V,而左边是12V(忽略100R压降),那么CE压差就是7V了。此时三极管处于放大导通状态,而三极管的be电流还是1mA。
放大导通:
Ib=1mA Ic=100mA
三极管功耗:
b极功耗 0.7V*1mA
c极功耗 7V*100mA
根据上面的分析,三极管放大状态的功耗是饱和状态的23倍。三极管在放大导通状态下,C极电流是具有100mA的输出能力的。但是,一般情况下,我们都是降额使用,否则会发热损坏掉。所以,三极管工作在放大状态,就特别要考虑功耗问题。
我们再回到之前的MOSFET放大状态,对于MOSFET来说,它的Id电流其实是受后级负载决定的,不是工程师所能控制的。但是MOSFET在开通过程中,必须要经过这个放大区,只不过这个放大区功耗特别的大,所以就需要这个放大区的时间就要特别的短。MOSFET在这个区域特别危险,坏的最多。
三极管和MOSFET从关断到完全饱和导通的过程中,中间必然会经过放大区。为什么说三极管也是经过放大区呢?比如说,我们把三极管设计在饱和导通状态。我们说在理想情况下,三极管的输入信号是这样子的。
但是,这只是理想。事实上,由于受驱动能力的影响,都做不到90°上升。实际上数字器件也有一个斜率的问题,只不过有时间的长短。
严格的说,它的波形是一个梯形的,并不是一个方波。
假设驱动电压上升到一个很小的值,比如说0.7V附近的时候,虽然达到了三极管的开通阈值电压,但是回路中有一个电阻,电流就很小,小到什么程度呢?大概只有nA级,是一个上升的过程。1nA 10nA 1uA 100uA 500uA 1mA最后到饱和导通,但是中间必然经过放大区,但是这个放大区的时间极短。所以说三极管也不怎么容易坏。但是MOSFET它不是,它的时间比较长,所以就容易坏。
-
深入讲解TTL门电路工作原理
深入讲解TTL门电路工作原理
在硬件电路中,大家可能会用到逻辑门这样的数字器件,然而对于这样的数字器件,内部工艺结构来份的话主要有2个大的分支:一个是晶体管构成的,另一个是场效应管构成的。很多工程师也听说过TTL电平和CMOS电平,其实就是指的由这两种工艺构成的逻辑门电路,可以对比大家常用开关管当中的三极管和MOS管,就容易区分了。
那么,今天就来先介绍一下TTL门电路。其实,TTL门电路也分很多种,比如说非门、与非门、或非门、与或非门以及OC输出的与非门。虽然种类多,但是基本的工作原理都是类似的。所以,接下来就介绍一个经典的TTL与非门电路,理解了它的基本工作原理,其他的自然也就知道了。
我们以74LS00这款集成芯片逻辑门为例,它内部就是由晶体管构成的。它的原理图符号如下图所示:
它的内部结构是什么样子的呢?如下图所示:
(图1)
我们先来认识这3个级:输入级、中间级、输出级。
(图2)
输入级:T1是多发射极晶体管,可以把它看成二极管构成的,如图2所示。所以根据图中就能看出来,输入级就是一个与门电路:Y’ = A·B。只有当A、B都为 1 时,Y’ 才会输出 1,其余Y’都为 0。
中间级:由三极管T2和电阻R2、R3组成。在电路的开通过程中利用T2的放大作用,为输出管T3提供较大的基极电流,加速了输出管的导通。所以,中间级的作用是提高输出管的开通速度,改善电路的性能。
(图3)
输出级:由三极管T3、T4、二极管D4和电阻R4组成。如图3所示,图3(a)是三极管非门电路,图3(b)是TTL与非门电路中的输出级。从图中可以看出,输出级由三极管T3实现逻辑非的运算。但在输出级电路中用三极管T4、二极管D4和R4组成的有源负载替代了三极管非门电路中的R4,目的是使输出级具有较强的负载能力。其中D4可以起到三极管be反向击穿的保护作用。
在理解了每一级工作原理后,下面结合整个内部电路一起分析它的工作逻辑。在下面的分析中假设输入高、低电平分别为3.6V和0.3V,PN结导通压降为0.7V。
1)A、B输入全为高电平≥2.0V(逻辑1)
如果不考虑T2的存在,则应有Vb1=VA+0.7≥2.7V。显然,在存在T2和T3的情况下,T2和T3的发射结必然同时导通。而一旦T2和T3导通之后,Vb1便被钳在了2.1V(Vb1=0.7×3=2.1V),所以T1的发射结反偏,而集电结正偏,称为倒置放大工作状态。由于电源通过R1和T1的集电结向T2提供足够的基极电位,使T2饱和,T2的发射极电流在R3上产生的压降又为T3提供足够的基极电位,使T3也饱和,所以输出端的电位为VY = Vce_sat ≈0.3V(<0.4V), Vce_sat为T3饱和压降。
可见实现了与非门的逻辑功能之一:输入全为高电平时,输出为低电平。
2)A、B任意一个输入低电平≤0.8V(逻辑0)
当输入端中有一个或几个为低电平(逻辑0)时,T1的基极与发射级之间处于正向偏置,该发射结导通,T1的基极电位被钳位到Vb1=VB+0.7≤1.5V。
1、当Vb1≤1.4时,T2和T3都截止。由于T2截止,由工作电源VCC流过R2的电流仅为T4的基极电流,这个电流较小,在R2上产生的压降就小,可以忽略,所以Vb4≈VCC = 5V,使T4和D4导通,则有:VY=Vce=VCC-Vbe4-Ud=5-0.7-0.7=3.6V。
2、当1.4V<Vb1≤1.5V时,T2放大导通状态而T3依旧截止,所以在R2两端会产生压降,此时,Vb4 = VCC - V2,假设V2 ≤ 1.2V,那么VY=Vce=VCC-V2 - Vbe4-Ud=5-1.2-0.7-0.7≥2.4V。而实际上,逻辑门输出电平≥2.4V就认为是高电平。
可见实现了与非门的逻辑功能的另一方面:输入有低电平时,输出为高电平。
综合上述两种情况,该电路满足与非的逻辑功能,是一个与非门。
-
用MT3540芯片设计BOOST电路(3)
用MT3540芯片设计BOOST电路
在理解了以上这些概念之后,我们现在可以来计算Boost电路的电感量L了。由于电感是储能元件,如果忽略自身电阻带来的损耗,可以几乎认为不消耗能量。所以,根据能量守恒我们知道,输入功率 = 输出功率,也就是说:
,由于
,
所以,
(1)
这里再以BCM模式来分析:
其中,
我们知道
,分析上面的波形能得到:
将(1)式带入到上式,得到:
经过变换得到:
我们可以通过上面这个公式来计算Boost电路的电感量了。假设一个Boost电路,Vin=5V,Vo=12V,Io=200mA,MT3540芯片的开关频率f=1.2 MHz。所以,
也就是说,在这样的电感量情况下,当负载在200mA时,电感刚好进入BCM模式。但是我们一般不这么来设计,如果最大负载Io=200mA,那么我们会按照它的一般左右来进行设计,也就是乘以一个0.5的系数。
选一个靠近5uH的标称电感,这里我们可以选择4.7uH的标称电感。
那么,为什么要把电感在负载的一半时,刚好工作在BCM模式来设计呢?
如果在满载Io=200mA情况下,电感刚好进入BCM模式时,Ipk=400mA。
如果在一半负载Io=100mA情况下,电感刚好进入BCM模式,
那么最大负载Io=200mA的CCM模式时,Ipk=300mA。
通过上面的分析可以知道,按照一半负载刚好进入BCM模式来设计的话,最大负载情况下的Ipk值是更低的。而电感的磁饱和电流是根据Ipk来的,Ipk值越大,磁芯的也越大,价格也越贵。
那么,可不可以按照最小的输出负载情况下,刚好进入BCM模式来设计呢?假如这样的话,根据电感量计算公式:
,可以看出来,当Io越小时,电感量也就越大。而电感量越大,绕的匝数也就越多,同样价格会贵。所以电感是在Ipk和L之间取一个折中平衡,通常是按照负载的一半刚好进入BCM来设计。
所以,对于MT3540 Boost芯片的电感感量设计为什么取4.7uH,要做到心里有数。如果你真的取3.9uH,或者取5.5uH,不能说这个设计有问题,它是决定Boost电感在负载Io多大时,电感进入BCM模式。电感量越大,更容易工作在CCM模式;电感量越小,更容易工作在DCM模式。更准确的说,电感量越大,连续深度越深;电感量越小,连续深度越浅。
什么是连续深度呢?比如说,Boost电路的负载范围是0~200mA。如果按照200mA刚好工作在BCM模式,那么整个负载范围内都是工作在DCM模式;如果按照100mA刚好工作在BCM模式,那么在0~100mA工作在DCM模式,在100mA~200mA工作在CCM模式。那么,就表示按照100mA来设计的话,连续深度更深。
以上,我们把Boost电路最核心的器件电感给介绍了一遍,也知道了它的工作原理。对于其他的元器件,相对来说,更简单。
这里二极管要选用肖特基二极管,这是因为芯片的开关频率很高,高达1.2MHz。而二极管有反向恢复时间,也就是说,从正向导通到反向完全截止需要一定的时间,这个时间要极短才能满足这么高的开关频率。而1N5819就能满足这个要求。
分压电阻的选择。这个要根据MT3540对应的数据手册来看,因为这款芯片的FB反馈电压有三种:1.20V/1.23V/1.25V。我们这里按照1.20V来进行设计的。它的选择决定了Vo的输出电压大小。因为
,所以
。
由于这里的VFB=1.20V,所以一般在设计时,先确定R8,这里选择R8=2K,那么上面这个式子就只有一个未知数R3了。在确定R8时,要保证回路的电流大约1mA左右,如果对功耗要求高,也可以选择百uA级左右,但是电流不能太小,因为容易受干扰。
EN使能脚的上拉电阻是厂家直接指定的,可以不用去管它。
那么,对于输入输出电压一般的标配都是10uF+104。但是要切记,Boost输出电容一定要选择瓷片电容,而不是铝电解电容。这是由于瓷片电容的寄生参数小,在1.2MHz这样的高频下,保证输出都是稳定的。否则,Boost电路有很大可能无法正常工作。这都是经过实际调试验证过的。在电容选择好后还要测试它在最大负载下的输出纹波,来确定电容容量是否满足。一般输出电容都是按照经验值来取的,如果对输出电容的计算感兴趣,可以在后面的BUCK电路中再详细讨论。
上面就是最终设计的BOOST电路。
